2023-07-20作者:贺雷
近日,我校化工学院陆安慧教授团队首次报道了一种“内热外冷”模式的多功能纳米反应器,在磁场的诱导下可实现近室温/近常压条件下(40℃,3 bar)多种α,β-不饱和醛酮的高选择性(>98%)加氢。相较于传统方法(图1a,b),该种纳米反应器可将高温高压“约束”在“纳米反应空间”内(图1c),从而实现宏观尺度下催化过程的温和转化,而采用传统方法需要更高的温度和压力(120 ℃,30 bar)才能实现同样的转化效率。这项工作是对传统催化剂加热方式革新的一次探索,为温和条件下的有机催化转化开辟了一条新的途径,也为催化剂的多功能纳米化集成提供了新的思路。相关成果以“Nanoengineered design of inside-heating hot nanoreactor surrounded by cool environment for selective hydrogenations”为题发表于影响因子为29.4的国际期刊《先进材料》(Advanced Materials)。

图1 传统“由外向内”加热催化剂、传统磁热催化剂与具有热约束功能的“内热外冷”纳米反应器的对比
陆安慧教授团队基于前期提出的磁性纳米粒子的“炭保护”策略(Angew. Chem. Int. Ed.2007, 46, 1222–1244),并结合“限域热解”策略(Angew. Chem. Int. Ed,2011,50, 11765-11768;ACS Nano, 2015, 9, 8504-8513),将“加热源”Fe3O4纳米颗粒构筑于纳米反应器的空腔内(图2),同时利用炭表面硫化实现Pt团簇的高分散以及对目标分子(巴豆醛、肉桂醛、3-甲基-2-丁烯醛、糠醛、乙基乙烯基酮和3-甲基-3-丁烯-2-酮等)的特异性吸附活化加氢。

图2 具有内置热源的多功能纳米反应器的透射电子显微镜表征
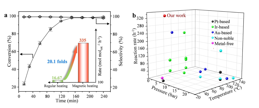
基于温敏分子的局部温度传感技术和有限元分析(FEA)分析,内置磁性颗粒的“内加热”能力和多孔炭壳的“热限域”能力使其空腔内可产生约为120℃,9.7 bar的高温高压空间,这可使反应速率提高20.1倍。而液相主体的宏观温度仅为40℃。扩散至“冷环境”中的产物可防止被过度加氢,因此在高转化率下仍可保持高选择性(图3a)。与已报道的文献的反应条件相比(大多为80℃以上,20 bar),这样的纳米反应器需要的反应条件更温和,且反应活性也更加优异(可达335mol·molcat.-1·h-1)(图3b)。

图3 巴豆醛选择性加氢性能探究
论文第一作者为我校化工学院博士生张瑞平,通讯作者为化工学院陆安慧教授和运载工程与力学学部吴承伟教授。该研究得到国家重点研发计划、国家自然科学基金,以及国家自然科学基金重点项目的资助支持。
论文链接:https://onlinelibrary.wiley.com/doi/10.1002/adma.202302793
来源:化工学院
编辑:王增强
最新动态